While protesters are trying to occupy Wall Street and spread their movement to other cities…
… others are trying to mathematically analyze the network of global corporate control:
• Stefania Vitali, James B. Glattfelder and Stefano Battiston, The network of global corporate control.
Here’s a little ‘directed graph’:
Very roughly, a directed graph consists of some vertices and some edges with arrows on them. Vitali, Glattfelder and Battiston built an enormous directed graph by taking 43,060 transnational corporations and seeing who owns a stake in whom:
If we zoom in on the financial sector, we can see the companies those protestors are upset about:
Zooming out again, we could check that the graph as a whole consists of many pieces. But the largest piece contains 3/4 of all the corporations studied, including all the top by economic value, and accounting for 94.2% of the total operating revenue.
Within this there is a large ‘core’, containing 1347 corporations each of whom owns directly and/or indirectly shares in every other member of the core. On average, each member of the core has direct ties to 20 others. As a result, about 3/4 of the ownership of firms in the core remains in the hands of firms of the core itself. As the authors put it:
This core can be seen as an economic “super-entity” that raises new important issues both for researchers and policy makers.
If you’ve never thought much about modern global capitalism, the existence of this ‘core’ may seem shocking and scary… like an enormous invisible spiderweb wrapping around the globe, dominating us, controlling every move we make. Or maybe you can see a tremendous new business opportunity, waiting to be exploited!
But if you’ve already thought about these things, the existence of this core probably seems obvious. What’s new here is the use of certain ideas in math—graph theory, to be precise—to study it quantitatively.
So, let me say a bit more about the math! What’s a directed graph, exactly? It’s a set and a subset
of
. We call the elements of
vertices and the elements of
edges. Since an edge is an ordered pair of vertices, it has a ‘starting point’ and an ‘endpoint’—that’s why we call this kind of graph ‘directed’.
(Note that we can have an edge going from a vertex to itself, but we cannot have more than one edge going from some vertex to some vertex
. If you don’t like this, use some other kind of graph: there are many kinds!)
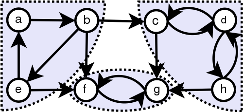
I spoke about ‘pieces’ of a directed graph, but that’s not a precise term, since there are various kinds of pieces:
• A connected component is a maximal set of vertices such that we can get from any one to any other by an undirected path, meaning a path of edges where we don’t care which way the arrows point.
• A strongly connected component is a maximal set of vertices such that we can get from any one to any other by an directed path, meaning a path of edges where at each step we walk ‘forwards’, along with the arrow.
I didn’t state these definitions very precisely, but I hope you can fill in the details. Maybe an example will help! This graph has three strongly connected components, shaded in blue, but just one connected component:
So when I said this:
The graph consists of many pieces, but the largest contains 3/4 of all the corporations studied, including all the top by economic value, and accounting for 94.2% of the total operating revenue.
I was really talking about the largest connected component. But when I said this:
Within this there is a large ‘core’ containing 1347 corporations each of whom owns directly and/or indirectly shares in every other member of the core.
I was really talking about a strongly connected component. When you look at random directed graphs, there often turns out to be one strongly connected component that’s a lot bigger than all the rest. This is called the core, or the giant strongly connected component.
In fact there’s a whole study of random directed graphs, which is relevant not only to corporations, but also to webpages! Webpages link to other webpages, giving a directed graph. (True, one webpage can link to another more than once, but we can either ignore that subtlety or use a different concept of graph that handles this.)
And it turns out that for various types of random directed graphs, we tend to get a so-called ‘bowtie structure’, like this:
In the middle you see the core, or giant strongly connected component, labelled SCC. (Yes, that’s where Exxon sits, like a spider in the middle of the web!)
Connected to this by paths going in, we have the left half of the bowtie, labelled IN. Connected to the core by paths going out, we have the right half of the bowtie, labelled OUT
There are also usually some IN-tendrils going out of the IN region, and some OUT-tendrils going into the ‘OUT’ region.
There may also be tubes going from IN to OUT while avoiding the core.
All this is one connected component: the largest one. But finally, not shown here, there may be a bunch of other smaller connected components. Presumably if these are large enough they have a similar structure.
Now: can we use this knowledge to do something good? Or it all too obvious so far? After all, so far we’re just saying the network of global corporate control is a fairly ordinary sort of random directed graph. Maybe we need to go beyond this, and think about ways in which it’s not ordinary. In fact, I should reread the paper with that in mind.
Or… well, maybe you have some ideas.
(By the way, I don’t think ‘overthrowing’ the network of global corporate control is a feasible or even desirable project. I’m not espousing any sort of revolutionary ideology, and I’m not interested in discussing politics here. I’m more interested in understanding the world and looking for some leverage points where we can gently nudge things in slightly better directions. If there were a way to do this by taking advantage of the power of corporations, that would be cool.)





I think this is quite misleading. e.g. UBS does not own a stake in JP Morgan. But UBS might run a mutual fund which holds shares in JP Morgan (among many other stocks).
The owners of those shares are of course the investors in this fund and not UBS. Drawing a graph from those relationships is completely misleading imho. e.g. UBS has no risk from running a mutual fund.
By the way, the graph is several years old, with Bear and Lehman still alive.
In the case of a mutual fund, the investors own shares in the mutual fund, not in the individual stocks that make up the mutual fund. The mutual fund manager still controls the stakes including voting rights, etc.
PS: I used to work at Capital Group, which was the #2 control holder (Table S1) as of the time of this publication.
In many cases we are talking about index funds, ETFs etc. and even managed funds are usually not activist but passive investors.
I think you would agree with me that this type of ownership has little to do with i) risk and ii) real control.
The influence of passive funds and ETFs in recent years is pretty dramatic and the impact is yet to be fully understood. It is questionable to say that these control anything, but they certainly have real impact.
Aside from passive index funds and ETFs, there are activist investors and there are active investors. There are few activist investors, i.e. investors who actively try to influence the management of the businesses they’ve invested in.
More significant are the active investors. These are the funds that try to beat the index (after fees). I haven’t read the paper, but these active investor do absolutely control what happens to the stock market even if they are not activists.
Companies do care what the mutual fund managers think and often give high-level access to senior executives. If any of the top 10 controllers decided to sell their stocks in any company, that company would find itself in severe trouble.
Great, so one could improve this study in various ways. But one should read the paper first, not just my summary of it—there are lots of details I left out, many of which I didn’t even understand. The math isn’t so hard, but I’m not an economist by any stretch of the imagination.
The interesting part to me is not the details of specific corporations, e.g. whether Bear Stearns and Lehman are still around, but the overall statistical nature of the graph. If the authors are making mistakes that affect that, it’s very important. But we can probably only tell by comparing the graph these authors get to the graph ‘done right’ (whatever that turns out to mean).
the interesting graph would be about counter-party risk imho.
e.g. A buys an option and B writes it.
The problem is that one needs a lot of detail (many options cancel each other, banks hedge risk etc.) and also one would need to know how this relationship changes (e.g. will A buy more if the underlying falls or will A sell?)
Unfortunately, currently regulators do not have enough data as far as I know and it takes a bankruptcy to sort out how a certain bank is connected and how much.
In the case of Lehman those proceedings are still ongoing, which gives you an idea how difficult this problem is currently to solve.
But I don’t see a reason (in the age of Google and all that) why regulators could not be informed of every transaction a bank does on a daily basis.
Then they could draw interesting graphs…
Most regulators would rather not know. Then they can’t be blamed for not doing anything if they didn’t know about it in the first place. I worked for the SEC for a while….
Yes. This is very interesting. I started promoting ideas along these lines back in 2005-2006 and it has gained attention since then (unrelated to me of course!).
The directed nature is important. Many studies “net out” flows, but this ignores leverage. It is important to keep track of both flows in and out separately.
It would be very fun to write a paper on this…
Let’s do it! I’d need to bone up on network theory a bit.
well, the main finding seems to be that a ‘core’ of about 1000 banks etc. handles or is involved in the finances of everybody else.
If this is surprising then only because this core is so diverse and the number 1000 quite large.
In most mature industries only a small number of players dominates: Boeing and Airbus; GM, Ford, Toyota and VW; Pepsi and Coke; Apple and Microsoft etc.
I think the large number > 1000 is mostly explained by heavy regulation and protectionism (every country seems to have its own big banks).
The core is large (about 1347 transnational corporations or ‘TNCs’), but the authors point out that:
These are mainly banks and other institutions in the financial sector. The top 50 are listed on page 33 of the paper.
You didn’t give any suggestions on how to improve things, perhaps because you’re happy with how they are!
well, I am certainly not happy with how things are, but I think superficial analysis will not make things better but perhaps worse.
I think it is not that important if ‘the core’ consists of 10, 100 or 1000 entities – as long as they all follow similar strategies and do similar things.
The way forward is radical transparency imho. As a customer and client of a particular bank I should have the right to know in detail what this bank is doing with my deposit. What derivatives etc. are they holding. As I stated above, in the age of Google it should be possible to track these things.
The important information is not public and you will not be able to get most of it. If you own shares in a company you have a right to it but most companies won’t give it to you anyway unless you own a controlling interest. Even the IRS can’t get some information despite having subpoena powers.
Well, 10 lines above you wrote that number of 1000 is important. What happened between those posts that numbers does not count?
You ask what can be done to make things better….
Perhaps building tools for government regulators would help.
Many of them don’t do the day to day case and code work and so can’t follow a verbal discussion of a complicated cases. Visual tools would help and may even be useful in court.
I think one of the more interesting directions to look at, where these mathematical tools might actually make some difference, is to examine the cases where elaborate ownership networks are created specifically to disguise ownership, probably in order to avoid paying taxes. Anecdotally we often hear about these elaborate labyrinthine ownership networks involving lots of shell-“businesses” that only exist on paper in order to shroud the real control. I’ve always been very curious about some of the details of how this works and hungry for a more substantive analysis of it.
Im sure a proper analysis might involve some boring minutia of accounting law, but perhaps some of these graph-theoretic techniques could help put a stop to some illegal or quasi-legal shenanigans.
Although it is not of direct interest to mathematical research, the discussion here does bring to mind the debate about open-source and proprietary access to economic and sociological data set.
I don’t think there would be an issue if data collection were not difficult and expensive. In the real world, there is pressure on the ‘owners’ of data to recoup their costs.
On the other hand the public good in making access to the data freely available, especially when the data is owned by public bodies (governments and their agencies, regulatory bodies, etc.) is also obvious.
The hypocrisy regarding public data access is absolutely stunning!
For example, climate researchers are routinely condemned for not making available every last bookkeeping note on some web server, whereas it is perfectly alright for oil-industry-sponsored consultancies to charge thousands of dollars in yearly fees to access fossil fuel consumption data.
This is the corporate media machine we face and that is why I will continue to do the math and statistics on the data we do have and then go into these swamps like http://ClimateEtc.com and duke it out.
What do you want to know…I was an international tax lawyer for the IRS for awhile. I tried to build a computer model of the tax code but I ran out of money.
Over on Google+ comments include:
Jane Shevstov:
Sergey Ten:
It’s not self-evident to me that ‘breaking up the core’ is a good thing (or even feasible if it were).
I think I need to read this:
• Marie Csete and John Doyle, Bow ties, metabolism and disease, Trends in Biotechnology 9 (2004), 446-450.
The ‘predictable fragilities’ include invasion by parasites and auto-immune disorders.
Breaking up the core is not necessarily a good thing. Even limiting the core seems misguided. Limiting the number of investments goes against the very principles of prudent investing, i.e. diversification.
Making the core resilient, i.e. robust against failure, should be the goal. The internet is a good model. Similar to the internet, one way this can be done is by increasing the connectivity and building redundancies.
I recently applied some of Tom Leinster’s “effective number” diversity stuff to time series analysis to determine the effective number of risk factors. How many species are there really in the market? During a crisis, the number of species changes and everyone starts behaving the same. That is one way this paper could be expanded.
Another way the research can be expanded is to look at other dependencies besides ownership. At a large asset manager (like Capital Group), you have analysts covering industries. These industry analysts know the companies within their industry inside and out making frequent visits to manufacturing floors, local offices, construction projects, etc. My suggestion was to have each analyst identify the key 2-way flows of capital to each company within their coverage. This would create a directed graph with both corporate and general economical agricultural factors.
For example, what if oil prices rise $10/barrel? Who would be most affected? If an airline has bought protection against oil price increases, they have counterparty risk to the person they bought protection from. What happens when the company you bought protection from goes bankrupt? All of this can and should be captured in a giant directed graph.
This could be a massive open source project.
As a provocative point: I think that an environmentalist or one who thinks about “average human welfare” should actually hope that there is a huge core of “financial interests” in principle, rather than a much more island based graph. The reasoning is that the more companies have stakes in the issues involved other companies, the more they should care about the kind of issues that affect them. In contrast, a truly scary thought would be a world in which all the banks were in one component, all the manufacturing businesses where in another component, etc. (Note that this is independent of one’s thoughts about capitalism/socialism/etc: regardless of what “control structure” one puts on things if one area doesn’t have a connection to another area then there’s no reason for them to bear in mind their actions.)
Of course the “in principle” above is probably the practical objection: if as seems likely the influences are based on short-termism/no incentive for a coherent global view/etc, one could easily imagine a tightly connected core with a few “string-pullers” being worse for both the enivronment and humans than the “no interactions” case.
You postulate the graph is random, but is it? Is there such a thing as the entropy of a graph? What is the entropy of this graph?
You describe a graph but what you produce isn’t a graph. It is a function of the time whose value at any particular time is a graph. If there are suitable measures that can be placed on stochastic graphs (such as entropies) how do they vary with time?
Note that time may be discrete, the functions will not be continuous but they will consist of sequence of creation and annihilation operators … links appear and disappear ..(Nodes may be assumed to appear and disappear as required by the links).
In short, in what ways is this graph valued function on a monoid typical of all such, and in what ways is it unusual. Which elements of the category of graph valued functions on monoids are free, initial or terminal, and are there any subcategories in which the observed example is initial or terminal?
Oh, and how good is the data? Before trying to fit a model to a data set, you need to know that the alleged data set is what it appears to be (eg no obvious data collection or processing biases).
Roger wrote:
I didn’t say it was random.
There’s a big theory of random graphs, but it only makes limited sense to ask whether a particular finite graph is random. It’s a bit like asking whether a particular sequence of bits is random. There are different ways to make that question precise, but one shouldn’t expect a definitive, yes-or-no answer.
For example we can ask whether various observables, as measured for our particular graph, are close to their expected values for a graph randomly chosen from some ensemble. And that’s the sort of question that people like to study.
I don’t see anything in the Vitali–Glattfelder–Battiston paper studying such questions for this particular graph. There are a lot of papers studying such questions for the world-wide-web.
Maybe James Glattfelder can answer that.
Of course there is an entropy of a graph, but you always have to consider the constraints of the problem. That is why the maximum entropy principle works so well, as it is the only technique that balances the perpetual tug of disorder against the natural constraints of the system. For every one of the graphs involving some sort of human ingenuity that I have looked at, the basic distribution is always explainable by maximum disorder constrained by a mean asymptotic learning curve. This works for labor productivity, web site links, scientific citations, income disparity with compounding interest, etc. Many would argue that some other mechanisms are need to explain each case but maximum entropy is always the most parsimonious.
In environmental ecology, there is a serious discussion on understanding diversity via either of two routes, “mechanism” vs “pragmatism”, where pragmatism is using probability arguments such as Maximum Entropy. See this interesting paper:
“Mechanisms in macroecology: AWOL or purloined letter? Towards a pragmatic view of mechanism”
What is great about it is that the math is very straightforward and anybody can work very elaborate problems using algorithms such as the hidden Markov model.
To me this looks like the most interesting question we can ask about this data. Does the graph have the shape and character of a random graph? Or of something that has grown by another principle, say positive feedback that rewards winners with further winnings?
By the way, the article claims to be the first to consider this, yet I remember seeing a very similar analysis (where Capital Group was #1) a couple years ago. I’ll post a reference if I can find it again.
Found it:
Backbone of complex networks of corporations: The flow of control
http://arxiv.org/abs/0902.0878v2
Two of the same authors.
Are you going to publish the graph data?
Who, me? I think maybe James Glattfelder, below might do better answering that question. As he notes on his blog, the data comes from Bureau van Dijk’s Orbis database, which is commercial (not free). But perhaps the researchers can make their graph publicly available without getting in legal trouble.
Nope, sorry:-(
Thank you for your interest in our study “the network of global corporate control”.
Because of the common misconceptions we keep encountering – from fierce hostility to belittlement and accusations of spreading conspiracy theories – please find in the following some clarifications about our paper, what it is and what it isn’t, while some of the voiced concerns are addressed:
http://j-node.blogspot.com/2011/10/network-of-global-corporate-control.html
Regards,
james
Thanks for pointing out that reference! I think the ‘fierce hostility, belittlement and accusations of spreading conspiracy theories’ are misplaced, and I hope you can take them in stride.
Do you have plans for more work along these lines? I bet there’s a lot to be learned using methods of this general sort.
Thanks for the comforting words – the internet is a hostile place;-)
Unfortunately, neither my colleagues nor I will be doing any real followup work to this in the near future. Although it would be really cool to see how the network snapshots evolved from 2007 to today.
But hopefully, albeit slowly, economic networks will start to be analyzed more often. And in general, I am looking forward to seeing more complex network analysis utilizing information about the weights and direction of links, next to some “intrinsic” value of the nodes, in the methodology…
I know you were sort of joking, but I wouldn’t say the internet is a hostile place. I’d instead say that a certain small percentage of people are obnoxious loudmouths — and on the internet, you get to meet more of them than you ever did before!
I’ve had lots experience in dealing with such people, and a key trick is to ignore them whenever necessary, actively block them whenever possible (as on this blog), and remain outwardly polite and cheerful at all times. If necessary, buy a punching bag.
If you haven’t spent decades discussing things in online forums, you might have been taken aback by the reactions you got to your paper. But the number of people who enjoyed it surely dwarf the number of people who complain about it. They’re just not as loud and insistent.
I totally agree with you! Especially the strategy of staying polite and civil. Although, a little sarcasm and irony here and there helps staying balanced;-)
The problem I had was especially with one response that a supposedly professional person wrote, which was a scathing sensationalist critique, sprinkled with ad hominem attacks, while stubbornly ignoring any subsequent attempts to clarify or explain. It wasn’t really the “loud dumb people” (http://xkcd.com/202/) and trolls that were annoying…
On a personal note, I applaud your efforts to educate via the internet. I remember first coming across your maths and physics stuff nearly 10 years ago, and I really like the Azimuth project. I find it quite an amazing feat, that if you educate yourself about global warming in the internet, it is totally obvious that it’s all a scam and has been invented by evil scientists and the alarmist media to take our freedom and suppress the people. While discussing this on google wave for a while, I was simply taken aback by the sheer endless resources and clever tactics that were used to propagate this “truth”. That’s why I find open, honest, reality- and science-oriented forums like this one invaluable:-)
Hi James,
I like this area of research and think you’ve done some nice work. I remember being highly interested when I saw the 2009 paper as well.
I hope to continue following your progress and seeing if I can incorporate your work into practical risk management. Thanks to the link to your blog. I’ll subscribe to the RSS feed.
My blog is here:
http://phorgyphynance.wordpress.com/
Best regards
Great, thanks for the link…
Regards,
j
This kind of analysis is always interesting to read!
Having not read it yet however, here is an idea to help nudge the behavior of networks of corporations:
– take the 147 or so core transnational corporations
– invite your friendly neighborhood social hacking group to create a website called groupoff.com where (with apologies to groupon.com) users volunteer to adopt their spending patterns as they relate to these TNCs
– invite your neighborhood machine learning group to analyse the influence of these actions with respect to some well-defined goal (eg a subgoal of saving the planet)
This is necessarily woolly on account of my hurried lunch break at a global financial institution… but you get the idea!
As a side note, I’ve found the Computational Legal Studies blog a good source for research in network analysis:
http://computationallegalstudies.com/tag/network-analysis/
It actually seems someone has already created groupoff.com — only they called it http://carrotmob.org/
Cool stuff!
A not completely unrelated article from the Federal Reserve Bank of Philadelphia appeared today:
• On the network topology of variance decompositions: measuring the connectedness of financial firms.
how was the effect of the federal reserve analyzed? was that not included as private corporation? it certainly is
What about your premise? Are the corporations really “at fault” or simply reacting to governmental bungles that made it necessary to follow the faulty business model of guaranteeing loans to people who could NEVER afford them, then backing those loans with US taxpayer dollars?
We had better start asking the right questions instead of directing ever-closer scrutiny to “solving” faulty premises.
Whose premise? Who is talking about corporations being “at fault”, or making out loans who couldn’t afford them? I don’t see anyone here talking about those things.
I agree with that!
(me, pick me!) Do a percolation with a small parameter p! :-) Preferably site percolation, not bond percolation.
What might that reveal?
that was a bad joke for people familiar with percolation theory jargon :-). Site percolation with small percolation parameter was supposed to suggest blowing most of them up.
[…] Azimuth reviewed a paper the network of global corporate control. […]
This research just appeared on New Scientist:
http://www.newscientist.com/article/mg21228354.500
Note: The research apparently doesn’t take holding companies into considerations as both #2 and #49 of the top 50 superconnected companies are actually the same company (that I used to work for). More precisely, #2 is the parent company of #49.
it doesnt make sense to analyze TNC’s “collusion” by how many TNC’s are owned by the same “TNC” it should instead be shown how many people have how much stake in how many trans national corporations and how does this affect the world.
It’s interesting to compare the beginning of this blog entry (dated October 3) to an article in New Scientist (dated October 24). I wrote:
The New Scientist article begins:
Get your news here first!
As an ex-IRS lawyer I can tell you that most large multinational companies use their network to avoid paying U.S. taxes….losses in one subsidiary can be financially moved around to most any company that needs losses to offset profits. The transactions are immensely complicated, sometimes legal and sometimes not. A major problem is that the government does not pay its staff well enough for most employees to want to deal with these complexities. I developed some software on my own dime to try to track and present, visually, how these transactions worked (particularly the illegal ones). While successful in collecting some taxes for the government I ultimately decided getting money from the private sector into the government did not seem a worthwhile cause…government seem far less likely to spend it wisely.
Your directed network model could be extended in its level of detail. For instance, companies could be strongly connected such as the connection between a corporate parent and a fully owned subsidiary, or it could be a more weak connection, such as that between a parent and its minority ownership in an LLC.
Further, the connections themselves, while they could be governed by legal rules as described above, they could also represent accounting rules and/or tax law. For example, a parent corporation can import losses from some types of subsidiaries but not others.
In fact, you could add two additional elements to your directed network which would be very helpful. First the element of time would be added to allow for changes in the network structure. Second the element of “events” which provides a set of rules for the effect of a given set of events.
With all of these above, one can model the legal and financial life of a multinational corporation.
Yes… yes… very interesting! But the menu (model) is not the food (outcomes) if I dare to say so to such an esteemed group of model builders and critics of model builders. The model is not the reality. How does one, or the collective we, take the resulting facts (that can reasonably be assumed to be correct from the model), and then ask ‘So what does what is now known really mean?’ A few bloggers danced around this question, but no one actually asked the question, and certainly no one answered it. Let me please restate my question and also attempt as AN EXAMPLE ONLY my attempt at answering it.
Q: What does the global ownership and control model results as described tell us and what does that mean to individuals, governments and corporations?
A1: To me as an individual I think it means I am a very long way from controlling decisions others are making which indirectly and in the long term will probably directly affect my well being or the well being of my son. Maybe I should look for more local investments which have more understandable dynamics where I at least have some control – like my large very successful local credit union.
A2. From a government’s perspective there may well be a lot of holes in our tax collection sieve. What to do? Daaah! Let’s get on with it – Let’s spend the money and do the work to stop the leaks. Oh and while we are at analysis – lets also look at ways of making government policy more productive for people and corporations! A3. What does this mean for corporations… well clearly it means very little… after all we are all part of the feeding chain… are we not? Seriously… this study illustrates to me that since our corporations especially our banking enterprises are so integrated globally that perhaps we should find or create a global mechanism or frameworks for globally governing all kinds of financial intermediaries – even credit unions. Not just Basel IV? Yes.. maybe something that just doesn’t control financial institutions but actually helps to plan and direct them ( a light – but not invisible hand) … and in that way helps them maximize shareholder value… while also respecting and contributing to their broader communities.
Sorry.. If I’d had more time I could have been more brief!
:)
t.
There are interesting new results on the size of the shadow banking system. The reference paper is here.
As this related slashdot article puts it:
Wow, interesting! Maybe we can send the bill for global warming to the shadow banking system.